无障碍 进入关怀版 简体 手机版
search
当前位置: 首页 > 互动交流

《深圳市物业专项维修资金管理规定(征求意见稿)》

  第一章 总 则

  第一条【法律依据】为加强深圳市物业专项维修资金的管理,保障物业共用部位、共用设施设备的维修和正常使用,维护物业专项维修资金所有人的合法权益,根据《深圳经济特区物业管理条例》(以下简称《特区条例》)等法律、法规、规章及规范性文件的规定,结合本市实际,制定本规定。

  第二条【适用范围】本规定适用于深圳市行政区域内住宅、商住、办公及商业等物业专项维修资金的交存、使用、管理和监督。

  第三条【物业专项维修资金的设立】一个物业管理区域内有两个以上独立产权单位和房屋所有权人的,应当设立物业专项维修资金。一个物业管理区域内仅有一个独立产权单位的,可以自愿设立、缴纳物业专项维修资金。

  本规定所称的物业专项维修资金包括首期归集的专项维修资金(以下简称为“首期维修资金”)和日常收取的专项维修资金(以下简称为“日常维修资金”)。

  第四条【物业专项维修资金的归属与使用】物业专项维修资金属于业主所有,用于物业保修期满后共有物业的安全检测鉴定、维修、更新、改造。

  第五条【管理机构职责】市物业专项维修资金管理机构(以下简称市管理机构)接受市住房和建设部门的委托,负责物业专项维修资金统一管理工作,并通过招投标方式确定物业专项维修资金专户银行(以下简称专户银行),设立物业专项维修资金专户,建立物业专项维修资金管理系统,对物业专项维修资金的收取、存储、使用、增值和查询等进行统一监督管理。

  区物业专项维修资金管理机构(以下简称区管理机构) 接受区住房和建设部门的委托,负责辖区内物业专项维修资金的具体管理工作。

  街道办事处负责对本辖区物业专项维修资金的使用进行管理,并协助区管理机构开展物业专项维修资金收取的相关工作。

  第二章 缴 纳,续 筹

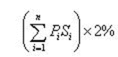
  第六条【首期维修资金收取标准】首期维修资金由建设单位按照物业项目建筑安装工程总造价的百分之二,在办理该物业项目不动产首次登记前一次性划入指定的物业专项维修资金专户。

  首期维修资金,应依据测绘报告,按照下列公式计算收取:


  其中:n为其物业类型种类数量;

  i代表第i种类型物业;

  Pi为第i种类型物业每平方米建筑安装工程造价标准;

  Si为第i种类型物业总建筑面积。

  各种类型物业每平方米建筑安装工程造价标准按照市住房和建设部门公布的标准执行;各种类型物业总建筑面积是指该物业房屋建筑面积测绘报告(竣工测绘)载明的总建筑面积。

  市人民政府对首期维修资金缴纳标准依法进行适度调整的,按调整后的标准计取。

  第七条【首期维修资金的分摊】首期维修资金应以按幢立账、核算到户为原则,按照物业区域内业主物业建筑面积所占本幢业主物业建筑面积之和的比例分摊到户。业主的物业建筑面积以市不动产登记部门提供的分户建筑面积为准,市不动产登记部门没有提供的,以建筑面积测绘报告(竣工测绘)载明的面积为准。

  第八条【首期维修资金的追缴】开发建设单位未缴纳首期维修资金的,区住房和建设部门应当责令其限期缴纳。开发建设单位逾期不缴纳的,区住房和建设部门依法申请人民法院强制执行。

  业主大会以民事诉讼的方式依法自行向开发建设单位追缴首期维修资金的,区住房和建设部门可以给予指导。

  第九条【日常维修资金缴纳标准和缴纳时间】业主应自入住起,按照市住房和建设部门会同市发展改革部门确定的缴纳标准缴纳日常维修资金。

  市住房和建设部门可会同市发展改革部门,根据我市实际情况对缴纳标准进行适时调整。

  本规定实施前物业区域全体业主未缴纳日常维修资金的,由该物业区域业主大会决定补缴数额和补缴期间。

  第十条【代收代管资金的清算】 本办法实施前,物业服务企业代收代管的日常维修资金应当由业主大会与物业服务企业共同组织清算。清算后的余额可以经业主大会决定继续由物业服务企业代管至依法使用完毕为止,也可以经决定移交至物业专项维修资金专户。

  第十一条【非定期移交日常维修资金的程序】非按月移交物业专项维修资金至物业专项维修资金专户的,按以下程序执行:

  (一)物业服务企业将拟存入资金金额和分户信息送交业主委员会予以公布,业主欠缴的,由业主委员会通知欠缴业主限期补缴。

  (二)物业服务企业填写《移交名册》并送交业主委员会审核。业主委员会应当将《移交名册》在物业区域内予以公示,公示期应不少于15日。公示期内有异议的,业主委员会负责组织异议人与物业服务企业进行核实和处理;

  (三)公示期满,无异议或者异议经核实处理后业主委员会审核同意的,应当由过半数以上的业主委员会委员在《移交明细》上签字,并加盖业主委员会印章;

  (四)物业服务企业持《移交明细》等材料到区管理机构办理移交手续。

  前款第(二)(三)项规定的审核,业主委员会可自行审核,也可以委托第三方机构审核;委托第三方机构的,其审核费用从业主共有资金中支出。

  第十二条【《特区条例》第九十一条规定之外的情形】业主大会既未按照《特区条例》第九十一条规定决定将日常维修资金移交市管理机构统一管理,又未决定由业主大会自行管理的,应当将日常维修资金移交市管理机构统一管理,由业主大会或物业服务企业按月存入物业专项维修资金专户。

  第十三条【定期日常维修资金的程序】按月移交日常维修资金至物业专项维修资金专户的,按以下程序执行:

  (一) 业主大会或者物业服务企业按月向业主收取日常维修资金并存入与市管理机构签约的银行托收账户,并在规定期限于市物业专项维修资金管理系统内以户为单位填报本物业管理区域缴纳维修资金的信息,检核无误后提交。

  (二)业主大会或者物业服务企业提交数据后,应即时打印《欠缴业主名册》并将《欠缴业主名册》在本物业管理区域范围内进行公示。

  (三)公示七天后,或有异议经处理后,业主大会或者物业服务企业持交存需提交材料到所在区管理机构办理移交手续。

  第十四条【收益的优先使用】业主大会决定优先用共有物业收益缴纳或补充日常收取的物业专项维修资金的,应将该收益按照本规定第十二条的规定存入物业专项维修资金专户。

  第十五条【续筹程序】物业专项维修资金专户的余额低于首期归集的专项维修资金百分之三十的,业主大会应当按下列程序进行续筹:

  (一)业主委员会拟定续筹方案,续筹方案应包括续筹总金额,资金来源,业主分担资金及缴纳时限等内容。资金来源如包含附条件捐赠资金的,应在续筹方案中说明捐赠所附条件的详细情况。

  (二)业主委员会将续筹方案提交业主大会表决。

  (三)业主大会依法表决通过后,业主大会授权业主委员会持《续筹方案》和业主大会决议等材料到区管理机构办理续筹手续。

  第十六条【拖欠日常维修资金的催缴】业主未按法律法规政策和规范性文件等相关规定和业主大会的决定,足额缴纳物业专项维修资金的,由业主委员会负责催缴,也可以由业主委员会委托物业服务企业、业主自行管理实施主体或其他管理人代为催缴。

  市管理机构向不动产登记机构提供未缴清日常维修资金业主的信息并提出不予办理转移或者抵押登记的意见。业主缴清物业专项维修资金后,市维修资金管理机构应当及时告知不动产登记机构解除对其房地产登记的限制措施。

  第三章  业主大会自行管理日常维修资金

  第十七条【自行管理的条件】符合下列条件的,业主大会可以决定自行管理日常维修资金:

  (一)已成立业主委员会;

  (二)使用市物业专项维修资金管理系统进行管理;

  (三)已在数据共享银行开立了共有资金基本账户或共有资金共管账户。

  业主大会决定自行管理日常维修资金的,应当制订自行管理日常维修资金细则。

  第十八条【自行管理备案】业主委员会应自业主大会决定自行管理日常维修资金之日起十五日内,持以下资料向区管理机构申请备案:

  (一)备案申请表;

  (二)管理规约、业主大会和业主委员会议事规则;

  (三) 业主大会表决通过有关自行管理日常维修资金的决议文件;

  (四)业主大会通过的自行管理细则;

  (五)数据共享银行共有资金基本账户或共有资金共管账户的开立证明。

  第十九条【自行管理的要求】业主大会自行管理日常维修资金的,应当按照业主决策、按幢立账、专户存储、核算到户、专款专用、公开透明、政府监督的要求,确保维修资金使用规范、高效、安全。

  第二十条【自行管理的监督】业主有权通过公示信息对自行管理日常维修资金的情况进行监督,发现业主委员会或物业服务企业等存在违反本规定行为的,有权向物业所在地区住房和建设部门反映。

  第二十一条【自行管理的终止】业主大会自行管理日常维修资金期间,出现以下情况的,应终止自行管理并及时将自行管理日常维修资金的余额缴纳至市物业专项维修资金专户:

  (一)业主大会会议决定终止的;

  (二)业主大会关于自行管理的决定被主管部门决定撤销或被人民法院判决撤销的。

  第四章 使 用

  第二十二条【物业专项维修资金申请使用】向区管理机构申请使用物业专项维修资金的,应当先行在市物业专项维修资金管理系统进行注册,关联代收付结算专户,并完成项目幢和分户信息的录入和核对工作。

  第二十三条【使用范围】物业专项维修资金用于共用部位、共用设施设备的安全检测鉴定、维修、更新及改造。维修、更新及改造过程中所产生的监理、验收、结算等费用可以从物业专项维修资金中支出。

  物业服务企业与业主在物业服务合同中可以对物业管理费所包含的共有物业的维修和养护费用范围进行约定。

  第二十四条【维修资金使用的负面清单】下列费用不得从物业专项维修资金中列支:

  (一)依法应当由建设单位或者施工单位在保修期内承担的共有物业维修和更新、改造费用。

  (二)依法应当由相关专营单位承担的供水、供电、供气、通讯、有线电视等管线和设施设备的维修、养护费用。

  (三)应当由当事人承担的因人为损坏物业共用部位、共用设施设备所需的修复费用。

  (四)根据物业服务合同约定,应当从物业管理费中列支的物业共用部位、共用设施设备的维修和养护费用。

  前款第(一)、(二)、(三)、(四)项规定情形,因与他人发生费用支付争议而导致诉讼、仲裁等无法即时得到费用进行相关维修、修复、养护、更新和改造的,经业主大会决定,可以从物业专项维修资金中先行垫支。相关费用收回的,应当即时补充物业专项维修资金。

  第二十五条【物业专项维修资金的普通使用程序】共用部位、共用设施设备的维修、更新及改造依据本规定使用物业专项维修资金的,按以下程序办理:

  (一)物业服务企业根据物业情况或者业主要求,拟订维修、更新或改造方案(以下简称“维修方案”)。维修方案应包括拟维修项目、维修程度、预算费用、分摊范围和标准、施工单位选定方式、验收、结算等内容。

  (二)业主委员会召开业主大会或者组织相关业主进行投票表决。

  (三)表决通过后,物业服务企业将维修工程中的相关信息及电子申请材料录入到市物业专项维修资金管理系统。

  (四)物业服务企业持维修方案、业主大会决议证明文件或者部分业主的书面同意证明文件等材料到区管理机构申请首期款项审核(首期款项不得超过项目经费预算款项的百分之七十),并核对预分摊信息,维修预算费用超过10万元的,需提供第三方造价审核机构的审核结论。

  (五)市管理机构根据区管理机构的首期款项划拨通知书划拨资金。

  (六)物业服务企业按维修方案组织实施。

  (七)维修工程竣工验收合格后,物业服务企业上传有关电子申请材料至物业专项维修资金管理系统后,持竣工验收合格文件、合法票据和结算资料等,到区管理机构进行尾款审核,并核对尾款分摊信息。审核通过后,市管理机构根据区管理机构的尾款划拨通知书划拨尾款。

  对物业管理区域已垫资完成且造价未超过十万元的维修工程,可在工程竣工验收合格后按照本条款中的尾款申请流程一次性申请维修资金,申请时所提交资料应包括首期款项和尾款的申请材料。

  竣工验收由业主委员会负责。需要专业机构验收的,可以由专业机构出具验收合格文件。

  第二十六条【物业专项维修资金的应急使用程序】共用部位、共用设施设备的应急维修费用从物业专项维修资金专户中支出的,按以下程序办理:

  (一)物业服务企业拟订应急维修、更新或改造方案(以下简称“应急维修方案”),应急维修方案应包括拟维修项目、维修程度、预算费用、分摊范围和标准等内容。

  (二)物业服务企业应立即告知业主委员会并经其对紧急情况进行书面确认,并同时告知物业所在地的区住房和建设部门和街道办事处。物业管理区域无业主委员会的,应立即告知所在地的街道办事处。

  (三)应急维修费用在十万元以下的,物业服务企业持业主委员会的书面意见向区管理机构申请划拨。应急维修费用在十万元以上的,物业服务企业还应当出具街道办事处的审核意见或者相关部门整改通知书等资料,以及具有造价咨询资质的专业机构审核的预算报告向区管理机构申请划拨首期款项(首期款项不得超过工程预算费用的百分之五十)。

  (四)市管理机构根据区管理机构的划拨通知书划拨资金。

  (五)工程竣工后,业主委员会或街道办事处依照应急维修方案组织验收、结算。

  (六)应急维修费用在十万元以上的,物业服务企业将维修工程及应急使用分摊信息录入市物业专项维修资金管理系统并上传有关电子申请材料后,持应急使用申请材料到区管理机构申请尾款划拨,并核对分摊信息。审核通过后,市管理机构根据区管理机构的划拨通知书划拨尾款。

  物业服务企业先行垫付应急维修费用的,可以在应急维修工程竣工验收合格以后,向区住房和建设部门出具上述相关文件,办理核销手续。

  第二十七条【应急维修使用业主大会自行管理日常维修资金的】共用部位、共用设施设备的应急维修费用从业主大会自行管理的日常维修资金中支出的,由物业服务企业向业主委员会申请使用。

  第二十八条【设立物业专项维修资金备用金】物业管理区域日常维修资金移交至市管理机构统一管理的,业主大会可以决定设立用于物业共用部位、共用设施设备小额维修的物业专项维修资金备用金(以下简称“备用金”),并授权业主委员会对单笔不超过业主大会决定限额的备用金使用和再次申请进行审核。

  备用金的额度不得超过物业项目日常维修资金年度应收总额的百分之三十。备用金使用完毕,经核销备案后可再次申请,年度累次总额不超过当年收取的日常维修资金总额。

  第二十九条【申请划拨备用金】业主大会决定设立备用金的,物业服务企业可以持业主大会设立备用金的决定,向区管理机构办理备用金划拨手续。

  第三十条【备用金的使用、核销和再次申请】使用备用金的,物业服务企业应当将备用金使用方案提交业主委员会审核,并向业主公示。

  备用金额度使用完毕的,物业服务企业持经业主委员会确认的备用金使用、分摊明细、合法票据等资料,向区管理机构核销。

  需再次申请备用金的,经业主委员会同意,物业服务企业向区管理机构办理划拨手续。

  第三十一条【物业专项维修资金使用的终止】使用物业专项维修资金的项目出现以下情况的,应终止使用物业专项维修资金并及时将未使用的物业专项维修资金移交至市物业专项维修资金专户:

  (一)业主大会会议决定终止使用物业专项维修资金的;

  (二)业主大会关于使用物业专项维修资金的的决定被主管部门决定撤销或被人民法院判决撤销的;

  第三十二条【物业专项维修资金使用的监督】

  区管理机构发现物业专项维修资金使用损害业主权益的,应当暂不予办理核销、划拨手续。

  业主、业主委员会、街道办事处发现物业专项维修资金使用存在损害业主权益情况的,可以向区管理机构申请暂不予办理核销、划拨手续。

  第三十三条【开发建设单位抵扣首期维修资金】按照原《深圳经济特区住宅区物业管理条例》的规定,建设单位已按市政府有关规定以建造成本价提供物业服务用房或按市政府规定的比例以同期市政府规定的微利房价格提供部分商业用房且未以房屋公用设施专用基金垫支的,建设单位可按原规定以该物业服务用房的建造成本价金额或该商业用房的微利价金额从建设单位应缴纳的房屋公用设施专用基金中抵扣。

  《特区条例》实施前,建设单位对物业共用部位,共用设施设备的维修、更新和改造费用,经业主大会表决同意,可从建设单位应当缴纳的房屋公用设施专用基金中抵扣。

  采用上述方式抵扣的资金总和不得超过应缴纳房屋公用设施专用基金的百分之七十。

  第三十四条【物业专项维修资金返还程序】申请人依据《特区条例》第九十六条申请物业专项维修资金返还的,应按下列程序办理:

  (一)业主大会或建设单位持不动产产权证注销材料,物业灭失维修资金退款申请表、业主银行账户信息等相关资料向区管理机构提出物业专项维修资金返还申请。

  (二)区管理机构应当自受理物业专项维修资金返还申请之日起二十个工作日日内于物业专项维修资金管理系统内予以公示。公示应载明申请人的名称及地址、灭失物业的情况、物业专项维修资金的余额等事项。公示期不得少于十个工作日。

  (三)公告期满无异议或有异议经处理的,市管理机构根据区管理机构的划拨通知书返还物业专项维修资金。

  第五章 附 则

  第三十五条【用语含义】本规定中下列用语的含义是指:

  (一)本规定所称“一个独立产权单位”,是指依法取得宗地的建设用地使用权,但宗地使用权限整体转让,不得分证登记的建设用地使用权人。

  (二)本规定所称“入住”是指在房屋买卖合同约定的时间内,业主收到书面入住通知并办妥相关入住手续。业主收到书面入住通知后,在通知期限内无正当理由不办理相关入住手续的,视为入住。建设单位没有事先书面通知的,以业主实际办妥相关入住手续为准。

  (三)物业管理区域由其他管理人管理或业主大会自行管理的,本规定中物业服务企业的职责,由其他管理人和业主大会自行管理主体承担。

  第三十六条【没有业委会的】物业管理区域没有业主委员会的,由区住房和建设部门会同街道办事处,征求该区域业主、物业使用人意见之后,指定物业所在地社区居民委员会负责召集需要业主共同决定使用物业专项维修资金的会议,并代行业主委员会的职责。

  第三十七条【追缴房屋公用设施专用基金】建设单位按照原《深圳经济特区住宅区物业管理条例》有关规定缴纳房屋公用设施专用基金的,以建安工程造价和地价为计算基数(其中原特区内1999年6月30日以后竣工交付的房屋项目专用基金收取的计算基数不含地价)。

  未缴纳的,经业主大会或业主委员会申请,由区住房和建设部门予以追缴或协助追缴。

  对于现存档案中项目相关造价资料缺失,或与客观情况严重不符的房屋项目,区住房和建设部门可参考市造价定额管理机构公布的竣工当年平均建安造价标准予以追缴。

  第三十八条【管理费】市住房和建设部门可以从代管的物业专项维修资金增值收益中提取百分之十,以支付管理机构的代收、代管等费用。

  市住房和建设部门可以会同市财政管理部门根据管理费收支状况适时调整前款所称的管理费提取比例。

  第三十九条【施行时间】本规定自2020年3月1日起施行。


相关附件

主办单位:深圳市住房和建设局 | 备案号:粤ICP备2023053213号 | 网站标识码:4403000005
咨询电话:0755-12345 | 信访投诉电话、执法投诉电话:0755-83788218| 执法投诉邮箱:zcfgc@zjj.sz.gov.cn
工作时间:9:00-12:00,14:00-18:00(工作日)| 通讯地址:深圳市福田区振兴路1号住建科研楼附楼一楼| 信访投诉举报箱位置:深圳市福田区振兴路1号住建科研楼附楼一楼信访室
版权保护 - 隐私声明 - 网站地图 - 网站帮助 - 网站操作指引 - 友情链接 粤公网安备 44030402002800号 无障碍标志