深府规〔2025〕7号
各区人民政府,市政府直属各单位:
《深圳市物业专项维修资金管理规定》已经市政府同意,现予印发,请认真组织实施。实施中遇到的问题,请径向市住房建设局反映。
深圳市人民政府
2025年11月29日
深圳市物业专项维修资金管理规定
第一章 总 则
第一条 为了加强深圳市物业专项维修资金的管理,保障物业管理区域共有物业的正常使用,维护物业专项维修资金共有人的合法权益,根据《深圳经济特区物业管理条例》(以下简称《特区条例》)等规定,结合本市实际,制定本规定。
第二条 本规定适用于深圳市住宅、商住、办公及商业等物业专项维修资金的缴纳、使用、管理和监督。
第三条 一个物业管理区域内有两个以上独立产权单位和房屋所有权人的,应当设立物业专项维修资金。
一个物业管理区域内仅有一个独立产权单位的,可以自愿选择设立物业专项维修资金。
第四条 物业专项维修资金属于业主共有,用于保修期满后共有物业的维修、更新、改造。
前款所称的共有物业包括物业共有部分和共用设施设备。
第五条 市住房和建设部门负责组织实施本规定及相关法律法规,统筹本市物业专项维修资金管理工作。各区住房和建设部门负责本辖区物业专项维修资金的监管工作。
第六条 市物业专项维修资金管理机构(以下简称市管理机构)负责建立物业专项维修资金管理系统对物业专项维修资金进行统筹管理;通过招标投标方式确定物业专项维修资金专户银行(以下简称专户银行),开立物业专项维修资金专户;按规定履行其他职责。
区物业专项维修资金管理机构(以下简称区管理机构)负责辖区内物业专项维修资金追缴、使用等具体监督管理工作。
街道办事处负责指导、监督业主大会和业主委员会开展物业专项维修资金缴纳和使用相关活动,调解物业专项维修资金有关争议,并配合住房和建设部门对物业专项维修资金进行监督管理。
第二章 缴交和管理
第七条 本市物业专项维修资金包括首期归集的专项维修资金(以下简称首期维修金)和日常收取的专项维修资金(以下简称日常维修金)。
首期维修金的管理方式为市管理机构代为管理,日常维修金的管理方式包括市管理机构代为管理和业主自行管理。
第八条 首期维修金由建设单位按照物业项目建筑安装工程总造价的百分之二,在办理该物业项目不动产首次登记前一次性划入市管理机构设立的物业专项维修资金专户,由市管理机构代为管理。
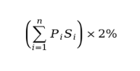
首期维修金应当依据房屋建筑面积测绘报告(竣工测绘),按照下列公式计算收取:

其中:n为其物业类型数量,i代表第i种类型物业,Pi为第i种类型物业每平方米建筑安装工程造价标准,Si为第i种类型物业总建筑面积。
各类型物业每平方米建筑安装工程造价标准按照市住房和建设部门公布的标准执行;各类型物业总建筑面积是指房屋建筑面积测绘报告(竣工测绘)载明的该类型物业建筑面积之和。
市人民政府对首期维修金缴纳标准依法进行适度调整的,按照调整后的标准计取。
第九条 物业管理区域依法未设立物业专项维修资金,房屋所有权人申请将原独立产权单位分割为两个以上独立产权单位的,由申请首次转移登记时的房屋所有权人按照提交首次转移登记申请时同类型物业项目首期维修金的缴纳标准,在办理登记前一次性缴清原独立产权单位的首期维修金。
已竣工的物业管理区域依法未设立物业专项维修资金,房屋所有权人申请容积调整的,在申请转移登记时,由申请转移登记时的房屋所有权人按照转移部分建筑物竣工时同类型物业项目首期维修金的缴纳标准,在办理转移登记前,就转移部分建筑物一次性缴清首期维修金。
根据土地出让合同约定或者其他有法律效力的文件确定,宗地范围内建设的建筑物主体部分为不得转让或者限整体转让,其余部分为配套建设并需向政府或者其他企事业单位移交的公益事业用房、产业用房等的物业管理区域,由建设单位在办理该项目不动产首次登记前,就配套建设并移交部分的建筑物一次性缴清首期维修金。
第十条 首期维修金应当按栋立账、核算到户,自首次登记之日起六个月内按照物业管理区域内业主专有部分建筑面积所占本栋业主专有部分建筑面积之和的比例分摊到户。
前款所称业主专有部分建筑面积,按照不动产登记簿记载的面积计算;尚未进行物权登记的,暂按测绘机构的实测面积计算;尚未进行实测的,暂按房屋买卖合同记载的面积计算。
市不动产登记机构应当协助提供物业管理区域分栋分户数据、面积等信息。
第十一条 业主应当自入住之日起,按照不低于市住房和建设部门会同市发展改革部门确定的标准缴纳日常维修金。日常维修金由业主按月缴纳,可以在交纳物业管理费时一并缴纳,也可以提前预缴。
市住房和建设部门可会同市发展改革部门,根据我市实际情况对缴纳标准进行适时调整。
本规定实施前物业管理区域全体业主未缴纳日常维修金的,由该物业管理区域业主大会决定补缴数额。
第十二条 业主大会决定将日常维修金移交市管理机构代为管理的,由业主委员会或者物业服务企业按月将实际收取的日常维修金移交至物业专项维修资金专户。
业主大会决定依法自行管理的,业主委员会或者物业服务企业应当将日常维修金存入业主共有资金账户的维修资金子账户,按照业主共有资金相关规定和本规定进行管理。
业主大会既未决定将日常维修金移交市管理机构代为管理,又未决定由业主大会自行管理的,应当按月将实际收取的日常维修金移交市管理机构代为管理。鼓励业主大会依法自行管理日常维修金。
第十三条 日常维修金由市管理机构代为管理的,业主大会或者物业服务企业应在与市管理机构、数据共享银行签订日常维修金托收协议后,向区管理机构申请办理日常维修金交存开通手续。具体移交时按照以下程序执行:
(一)业主委员会或者物业服务企业按月向业主收取日常维修金,先存入业主共有资金账户的维修资金子账户,并在次月10日前通过物业专项维修资金管理系统以户为单位填报本物业管理区域缴纳日常维修金的信息,校核无误后提交;
(二)业主委员会或者物业服务企业提交数据后,应当即时打印《欠缴名册》并公示,公示期不少于十日;
(三)公示期满无异议或者有异议经处理后,按照托收协议,将日常维修金从业主共有资金账户的维修资金子账户移交至物业专项维修资金专户。
第十四条 一个物业管理区域的代管物业专项维修资金账户余额低于实缴首期维修金百分之四十的,区管理机构可通过物业专项维修资金管理系统向业主委员会和物业服务企业发出续筹预警提示;代管物业专项维修资金账户余额低于实缴首期维修金百分之三十的,共有物业收益余额应当主要用于补充物业专项维修资金。业主大会应当按照以下程序进行续筹:
(一)业主委员会拟定续筹方案,续筹方案应当包括续筹总金额、资金来源、业主分摊资金及缴纳时限等内容。资金来源如包含附条件捐赠资金的,应当在续筹方案中说明捐赠所附条件的详细情况;
(二)业主委员会将续筹方案提交业主大会表决,表决比例应当符合法律规定的业主人数比例和业主所持投票权数比例要求;
(三)业主大会依法表决通过并授权业主委员会组织续筹;
(四)续筹实施后,业主委员会提交续筹方案、业主大会会议决议等申请材料,向区管理机构申请办理续筹资金移交手续。
一个物业管理区域内分栋的代管物业专项维修资金账户余额低于其分栋实缴首期维修金百分之三十的,该分栋业主可以参照前款规定共同决定进行续筹,但不得与业主大会作出的决定相抵触。
第十五条 物业服务企业在2020年11月1日前代收的日常维修金应当由业主委员会与物业服务企业共同组织清算,清算后的余额依法决定移交市管理机构代为管理的,由业主委员会或者物业服务企业按照本规定第十六条执行;自行管理的,存入业主共有资金账户的维修资金子账户。
第十六条 业主大会决定将补缴日常维修金、用共有物业收益缴纳或者补充物业专项维修资金、续筹物业专项维修资金、移交清算后的日常维修金余额等一次性移交市管理机构代为管理的,按照以下程序执行:
(一)业主委员会制订《移交明细》,公布拟移交资金的金额和分栋分户资金分摊信息。业主欠缴的,由业主委员会通知欠缴业主限期补缴;
(二)业主委员会公示拟提交的《移交明细》,公示期不少于十日。公示期内有异议的,业主委员会负责组织异议人与物业服务企业进行核实和处理;
(三)公示期满无异议或者异议经核实处理后,业主委员会审核同意的,应当由过半数以上的业主委员会委员在《移交明细》上签字,并加盖业主委员会印章;
(四)业主委员会或者物业服务企业提交《移交明细》等申请材料,向区管理机构申请办理移交手续。
一次性移交物业专项维修资金时未同步提交《移交明细》的,业主委员会或者物业服务企业应当自移交之日起一年内向区管理机构提交《移交明细》;一年内提交《移交明细》确有困难的,经业主委员会或者物业服务企业向区管理机构申请,可以再延长一年提交。逾期未提交的,前款一次性移交至物业专项维修资金专户的资金及其增值收益,按照本规定第十条的原则分摊。
第十七条 业主大会决定自行管理日常维修金的,业主委员会应当参考市住房和建设部门发布的示范文本制订本物业管理区域日常维修金自行管理规则,并提请业主大会审议。
业主委员会或者物业服务企业应当自业主大会决定自行管理日常维修金之日起十五日内,持以下材料向区住房和建设部门申请备案:
(一)业主大会表决通过有关自行管理日常维修金的决议文件;
(二)业主大会通过的日常维修金自行管理规则;
(三)数据共享银行业主共有资金账户的维修资金子账户信息。
区住房和建设部门应当将备案情况告知物业管理区域所在地的街道办事处。
第十八条 业主大会决定终止自行管理日常维修金或者业主大会关于自行管理的决定被依法撤销的,应当及时将日常维修金移交市管理机构代为管理。业主委员会或者物业服务企业应当在业主大会作出决定或者决定被依法撤销之日起三十日内,将自行管理的日常维修金余额、《移交明细》按照本规定第十六条规定移交至物业专项维修资金专户。
第三章 使 用
第一节 一般规定
第十九条 物业专项维修资金的使用应当遵循业主决策、方便快捷、专款专用、公开透明、受益人与负担人相一致的原则。
第二十条 物业专项维修资金的使用,由业主共同决定。物业专项维修资金用于全体共有部分的,由业主大会作出决定;物业专项维修资金用于部分共有部分的,由该部分业主(以下统称相关业主)共同表决。
业主决策物业专项维修资金的使用,应当符合法律规定的业主人数比例和业主所持投票权数比例要求。
第二十一条 物业专项维修资金除根据本规定第四条使用外,共有物业维修、更新和改造过程中所产生的设计、监理、安全检测鉴定、造价审核、验收及结算等费用可从物业专项维修资金中列支。
鼓励探索建立维修保险制度。经全体业主或者相关业主依法形成决议,可以使用物业专项维修资金购买共有物业维修保险和共有物业灾害保险。
一个物业管理区域内,独立单栋多单元建筑属于一个独立产权单位的,其外墙、屋顶部位和电梯等用于整栋共用的设施设备和部位需要维修、更新或者改造的,经本栋业主同意,可以申请使用本栋物业专项维修资金。
第二十二条 下列情形发生的费用应当由相应的责任单位或者当事人依法承担:
(一)依法应当由建设单位或者施工单位在保修期内承担的共有物业维修、更新和改造费用;
(二)相关专营单位应当承担的供水、排水、供电、供气、通讯、有线电视等管线和设施设备的维修、管养和更新改造费用;
(三)应当由当事人承担的因人为损坏共有物业所需的修复费用;
(四)根据物业服务合同及相关约定,应当从物业服务费中列支的共有物业的维修和养护费用。
前款规定的情形,如因与第三人发生费用支付争议而导致诉讼、仲裁等无法及时得到相关维修、养护、更新和改造等费用的,可以从物业专项维修资金中先行垫支。相关费用收回的,业主委员会或者物业服务企业应当及时补充垫付的物业专项维修资金。
第二十三条 物业专项维修资金的使用,可以区分为专项使用、日常使用和应急使用三种情形。专项使用适用于共有物业大、中修和专项维修、更新、改造等项目;日常使用适用于共有物业日常小额维修项目;应急使用适用于紧急和必要情形下的应急处置和维修项目。
专项使用应当由业主大会或者物业部分共有部分业主决定实施;日常使用由业主委员会依照本规定监督实施;应急使用由物业服务企业依照有关法律法规及本规定组织实施。
业主大会可以通过业主大会会议或者管理规约等形式对专项使用和日常使用的具体划分标准和适用范围,以及对项目维修费用超过十万元或者结合实际情况确定的金额是否提请第三方造价咨询机构造价审核等事项作出决定。
第二十四条 物业管理区域出现下列情形,须及时排除妨碍、消除隐患、保障安全的,物业服务企业可以申请应急使用物业专项维修资金:
(一)物业的屋面、外墙等共有部分发生渗漏,需立即进行局部维修的;
(二)楼体等共有部分墙面饰面有脱落危险,玻璃幕墙爆裂,地面塌陷等危及公共安全的;
(三)共有部分的楼地板、楼梯踏步、阳台、晒台等存在脱落危险,危及人身安全的;
(四)建筑防火性能下降,消防设施出现故障,存在安全隐患的;
(五)电梯发生冲顶、蹲底(坠落)等故障,或者电梯控制系统、曳引系统、门系统、安全保护装置等出现损坏或者失效等紧急情况的;
(六)电梯存在事故隐患,经电梯安全监督管理部门发出整改通知;或者经电梯安全评估机构评估,并经电梯安全监督管理部门认定,需拆除、更换电梯的;
(七)未向供电部门办理产权移交手续且未实现抄表到户的高低压供电设备、线路等发生故障,存在用电安全隐患的;
(八)未向供水部门办理产权移交手续且未实现抄表到户的供水、排水设施设备发生故障,导致水质污染、供水中断,或者因破损、堵塞等造成功能障碍的;
(九)出现危及或者可能危及公共安全、损害或者可能损害公共利益情形,需要加装、更新或者改造物业管理区域充换电消防、防灾救灾等设施设备以及其他必要设施设备,物业服务合同约定从物业管理费中支出的除外;
(十)其他共有部分或者共用设施设备出现安全隐患,危及公共安全的。
发生前款第一至八项以及第十项规定情形的,物业服务企业应当采取紧急处置措施、开展应急维修,并告知业主委员会,业主委员会应当对维修事项和紧急情形予以确认。物业服务企业同时应书面告知物业管理区域所在地街道办事处。业主委员会无正当理由不对维修事项和紧急情形予以确认或者物业管理区域无业主委员会的,物业管理区域所在地街道办事处可据实代为确认。
发生前款第九项规定情形的,物业服务企业应当在街道办事处和业主委员会的统筹监督下,根据实际情况,并结合相关部门意见,制订具体实施方案。具体实施方案应向业主公示,公示期满无异议或者异议经处理后执行。有关加装、更新或者改造费用从物业专项维修资金中列支。
第二十五条 除本规定应急使用物业专项维修资金的情形外,未将日常维修金移交市管理机构代为管理,需要使用物业专项维修资金的,应当先使用自行管理的日常维修金。
第二十六条 物业专项维修资金的使用分摊方式由业主大会决定。业主大会没有约定或者约定不明确的,按照以下方式进行分摊:
(一)物业专项维修资金用于全体共有部分的,由物业管理区域全体业主按照各自专有部分建筑面积所占本物业管理区域业主专有部分建筑面积之和的比例共同承担;
(二)物业专项维修资金用于部分共有部分的,由该部分共有部分业主按照各自专有部分建筑面积所占该部分业主专有部分建筑面积之和的比例共同承担。
第二节 代管物业专项维修资金的使用
第二十七条 申请使用市管理机构代为管理的物业专项维修资金(以下简称代管资金)的,业主委员会或者物业服务企业应当先行在物业专项维修资金管理系统确认业主共有资金账户等信息,并完成项目栋和分户信息的录入和核对工作。
物业管理区域分栋分户信息与不动产登记机构登记的信息不一致的,业主委员会和物业服务企业应当对本物业管理区域的分栋分户信息予以核实确认。分栋分户信息按照本规定第十条原则确定。
第二十八条 专项使用代管资金的,按照以下程序办理:
(一)物业服务企业根据物业情况,制订维修、更新或者改造方案(以下简称维修方案)。维修方案应当包括拟维修项目、维修程度、预算费用、分摊范围和标准、施工单位选定方式、竣工验收、结算和造价审核要求等内容;
(二)业主大会或者相关业主依法形成决议并公示;
(三)物业服务企业提交维修方案、业主大会会议决议或者相关业主的书面同意意见等申请材料,向区管理机构申请首期款项备案(首期款项不得超过项目经费预算款项的百分之六十)。区管理机构备案完成后,市管理机构根据区管理机构的划拨通知,将款项划拨至业主共有资金账户的维修资金子账户;
(四)物业服务企业按照维修方案组织实施。业主委员会负责组织竣工验收,并出具验收合格意见。业主委员会委托专业机构验收的,由专业机构出具验收合格文件;
(五)维修项目竣工验收合格后,物业服务企业提交竣工验收合格文件、维修合同、合法票据和结算资料等申请材料,向区管理机构申请尾款备案。备案完成后,市管理机构根据区管理机构的划拨通知,将款项划拨至业主共有资金账户的维修资金子账户。
对物业管理区域已垫资完成的维修工程,可在工程竣工验收合格后按照本条中的尾款申请流程一次性申请物业专项维修资金,申请材料应当包括维修方案、业主大会会议决议或者相关业主的书面同意意见、竣工验收合格文件、维修合同、合法票据和结算资料等。
自行管理日常维修金的物业管理区域,物业服务企业还应提交自行管理的日常维修金余额情况。
第二十九条 日常使用代管资金的,业主大会可以决定设立用于共有物业日常小额维修的备用金制度、单次备用金申请额度以及业主委员会有权核验的单次使用额度。备用金的单次申请额度不得超过物业管理区域日常维修金年度应收总额的百分之五十。备用金使用完毕可再次申请,年度累计总额不得超过本年度实际收取日常维修金总额。
业主大会决定设立备用金的,按照以下程序办理:
(一)业主大会依法形成决议并公示;
(二)由业主委员会或者物业服务企业提交业主大会设立备用金的决定等申请材料,向区管理机构提出备案申请,办理备用金首次划拨手续。市管理机构根据区管理机构的划拨通知将款项拨至业主共有资金账户的维修资金子账户;
(三)使用备用金的,物业服务企业应当将备用金使用方案提交业主委员会核验并公示;
(四)备用金额度使用完毕并经业主委员会确认后,物业服务企业提交备用金使用方案、物业专项维修资金使用分摊明细、合法票据等申请材料,向区管理机构申请办理核销手续;
(五)需再次申请备用金的,经业主委员会同意,物业服务企业可在办理核销时向区管理机构一并提出办理再次申请划拨手续。市管理机构根据区管理机构的划拨通知将款项拨至业主共有资金账户的维修资金子账户。
第三十条 应急使用代管资金的,物业服务企业应拟订维修方案,维修方案应当包括拟维修项目、维修程度、预算费用、分摊范围和标准、施工单位选定方式、竣工验收、结算和造价审核要求等内容。
应急维修费用在十万元以下的,工程竣工后,业主委员会应当立即按照维修方案组织验收,业主委员会或者物业服务企业应当同步将应急维修情况进行公示。验收合格且公示期满后,物业服务企业提交维修方案、业主委员会的书面意见等申请材料,向区管理机构申请核销。
应急维修费用在十万元以上的,按照以下程序办理:
(一)物业服务企业提交维修方案、业主委员会书面意见、街道办事处的审核意见或者相关部门整改通知书、第三方造价咨询机构的审核结论等申请材料,向区管理机构申请划拨首期款项(首期款项不得超过工程预算费用的百分之五十)并同步进行公示;
(二)公示期满后,市管理机构根据区管理机构的划拨通知划拨相应款项至业主共有资金账户的维修资金子账户;
(三)工程竣工后,业主委员会按照维修方案组织验收和结算;
(四)物业服务企业提交竣工验收合格文件、合法票据、结算资料等申请材料,向区管理机构申请尾款划拨。市管理机构根据区管理机构的尾款划拨通知划拨尾款至业主共有资金账户的维修资金子账户。
应急维修费用在十万元以上、物业服务企业先行垫付应急维修费用的,可在应急维修工程竣工验收合格后,凭本条第三款所列的资料向区管理机构办理核销手续,核销时可申请一次性拨付。
第三十一条 一个物业管理区域内物业专项维修资金账户余额低于首期维修金百分之三十的,只能用于本规定第二十四条所列应急维修事项;物业管理区域内分栋物业专项维修资金账户余额低于本栋首期维修金百分之三十的,只能用于本栋应急维修事项和业主大会决定使用物业专项维修资金事项。
第三节 自行管理日常维修金的使用
第三十二条 物业管理区域自行管理日常维修金的,业主委员会或者物业服务企业应当按照业主共有资金相关规定、本规定以及物业管理区域日常维修金自行管理规则,遵循业主决策、核算到户、专款专用、公开透明的原则对日常维修金的使用进行管理,确保自行管理日常维修金使用规范、高效、安全。
第三十三条 非应急使用自行管理的日常维修金的,业主委员会或者物业服务企业应当履行以下程序:
(一)根据物业情况拟订维修方案;
(二)业主大会或者相关业主依法形成决议;
(三)业主委员会或者物业服务企业向数据共享银行申请划款;
(四)物业服务企业按照维修方案组织实施。
业主大会可以决定委托第三方造价咨询机构进行审核。
业主大会可以决定设立用于共有物业日常小额维修的日常使用制度,授权业主委员会对不超过业主大会决定限额的使用进行核验。
第三十四条 发生本规定第二十四条规定的应急使用情形,涉及的应急维修费用从自行管理日常维修金中支出的,由物业服务企业向业主委员会申请,按照日常维修金自行管理规则使用。
第三十五条 对十万元以上的物业专项维修资金支出,物业服务企业或者业主委员会应当提前十日公示物业专项维修资金使用支出需求。数据共享银行在收到物业专项维修资金支出需求后,应当核实相关公示编号,不符合要求的,数据共享银行应当拒绝付款。
第三十六条 业主委员会或者物业服务企业应当在全市统一的物业管理信息平台上向全体业主实时公开业主共有资金账户的维修资金子账户的基本信息及交易明细。
前款所称基本信息包括账户账号、账户名称、开户银行等。
第四章 监 管
第三十七条 市管理机构、业主大会或者物业服务企业在保证物业专项维修资金正常使用的情况下,可以依法对物业专项维修资金进行增值运作,除银行储蓄或者依法购买国债外不得用于其他投资,不得借贷给他人或者为他人提供担保。物业专项维修资金自存入专户之日所产生的利息等增值收益,应当转入物业专项维修资金滚存使用。
市管理机构应当遵循公开、平等、自愿的原则,通过招标投标方式确定专户银行。
第三十八条 任何单位和个人不得侵占、挪用物业专项维修资金;不得以任何理由和形式,将物业专项维修资金用于本规定以外的用途。
第三十九条 业主委员会、物业服务企业不按照本规定使用物业专项维修资金,或者有其他行为造成物业专项维修资金损失的,所产生的费用或者造成的损失以及相应法律责任由行为人依法承担。构成犯罪的,依法追究刑事责任。
第四十条 建设单位未按照规定缴纳首期维修金或者原房屋公用设施专用基金的,由区住房和建设部门予以追缴,并可责令限期三个月内缴清。逾期未缴清的,可以依法申请人民法院强制执行。
业主大会以民事诉讼的方式依法向建设单位追缴首期维修金或者原房屋公用设施专用基金的,区住房和建设部门可给予指导。
第四十一条 业主未缴清物业专项维修资金的,业主委员会应当组织清算并进行催缴,或者委托物业服务企业代为催缴。业主委员会还可以将清算结果向区管理机构书面反映并提出意见,区管理机构可以根据业主委员会提出的意见并结合实际情况,依照《特区条例》第九十四条规定,提请市管理机构向不动产登记机构申请不予办理未缴清业主所属物业的转移或者抵押登记。业主缴清物业专项维修资金后,经业主委员会确认,区管理机构应当及时提请市管理机构告知不动产登记机构解除对其房地产登记的限制措施。
第四十二条 业主大会决定终止使用物业专项维修资金或者业主大会关于使用物业专项维修资金的决定被依法撤销的,应当终止使用物业专项维修资金。申请使用代管资金的,还应在业主大会作出决定之日或者被依法撤销之日起三十日内将未使用的物业专项维修资金按照本规定第十六条移交至市物业专项维修资金专户。
第四十三条 物业专项维修资金管理,应当依法接受审计部门的审计和监督。
区管理机构发现物业专项维修资金使用损害业主权益的,应当暂不予办理核销、划拨手续,或者通知业主共有资金开户单位暂停使用物业专项维修资金。
街道办事处、业主委员会发现物业专项维修资金使用存在损害业主权益的,可向区管理机构申请暂不予办理核销、划拨手续,或者通知业主共有资金开户单位暂停使用物业专项维修资金。
专户银行、数据共享银行应当建立物业专项维修资金查询和复核制度,接受业主大会和管理机构的监督。
第四十四条 按照原《深圳经济特区住宅区物业管理条例》的规定,建设单位已提供合法建设的物业服务用房或者商业用房,且未从原应交房屋公用设施专用基金中抵扣的,其购置费用可按原规定从物业专项维修资金中抵扣。
2008年1月1日前,建设单位对共有物业进行维修、更新和改造所发生的费用,经业主大会表决同意,可以从建设单位应当缴纳的房屋公用设施专用基金中抵扣。
采用前款方式抵扣的资金总和不得超过应当缴纳房屋公用设施专用基金的百分之七十。
第四十五条 业主转让物业时,其名下的物业专项维修资金余额随物业一并转让。因拆迁或者其他原因造成物业灭失的,经业主委员会、新建设单位或者拆迁组织单位申请应当返还该物业的代管资金余额;自行管理日常维修金的物业管理区域,业主委员会或者物业服务企业也应当返还自行管理的日常维修金余额。
申请返还代管资金的,应当按照下列程序办理:
(一)申请人提交物业灭失物业专项维修资金退款申请表、业主银行账户信息等相关申请材料,向区管理机构提出物业专项维修资金返还申请;
(二)区管理机构应当自受理物业专项维修资金返还申请之日起二十个工作日内予以公示。公示应当载明申请人的名称及地址、灭失物业的情况、物业专项维修资金的余额等事项。公示期不得少于十个工作日;
(三)公示期满无异议或者有异议经处理的,市管理机构根据区管理机构的划拨通知返还物业专项维修资金。
第五章 附 则
第四十六条 本规定中下列用语的含义是指:
(一)本规定所称“独立产权单位”,是指依法取得建设用地使用权,权属界线固定封闭且独立划定不动产登记单元的建筑物、构筑物等定着物。
(二)一个独立产权单位由两个以上单位或者个人共有的,其共有人视为一个房屋所有权人。
(三)本规定所称“住宅、商住、办公及商业物业等”的划分依据为土地使用权出让合同或者其他有法律效力的文件。
(四)根据土地出让合同约定或者其他有法律效力的文件确定,宗地范围内建设的建筑物有两个以上独立产权单位和房屋所有权人的;或者根据土地出让合同约定,宗地范围内建设的建筑物允许分割转让的,为一个物业管理区域内有两个以上独立产权单位和房屋所有权人。
(五)本规定所称“入住”,是指在房屋买卖合同约定的时间内,业主收到书面入住通知并办妥相关入住手续。业主收到书面入住通知后,在通知期限内无正当理由不办理相关入住手续的,视为入住。建设单位没有事先书面通知的,以相关约定或者业主实际办妥相关入住手续的时间为准。
(六)本规定所称“公示”,是指在物业管理区域显著位置公开张贴并同时在全市统一的物业管理信息平台发布,时间不少于十日。
第四十七条 在本规定实施前已依法设立物业专项维修资金,但不属于本规定应当设立物业专项维修资金范围的物业管理区域,其物业专项维修资金按照本规定的使用程序申请使用。
第四十八条 物业管理区域由其他管理人管理或者业主大会自行管理的,本规定中物业服务企业的职责,由其他管理人或者业主大会自行管理主体承担。
未依法成立业主大会和选举产生业主委员会的住宅物业管理区域,由社区居民委员会依法依规代行业主委员会职责。
第四十九条 建设单位按照原《深圳经济特区住宅区物业管理条例》有关规定缴纳房屋公用设施专用基金的,以建安工程造价和地价为计算基数(其中原特区内1999年6月30日以后竣工交付的房屋项目专用基金收取的计算基数不含地价)。
对于现存档案中项目相关造价资料缺失,或者与客观情况严重不符的房屋项目,区管理机构可参考市造价定额管理机构公布的竣工当年平均建安造价标准予以追缴。
第五十条 本规定自2026年1月1日起施行。《深圳市物业专项维修资金管理规定》(深府规〔2020〕8号)同时废止。
